收藏本站
首页
公司概况
公司简介
公司规模
公司荣誉
产品中心
新闻动态
企业资讯
行业报道
医药知识
商务招商
联系我们
人才招聘
星空(中国)
新闻动态
企业资讯
行业报道
医药知识
当前位置:
首页
>
企业资讯
>
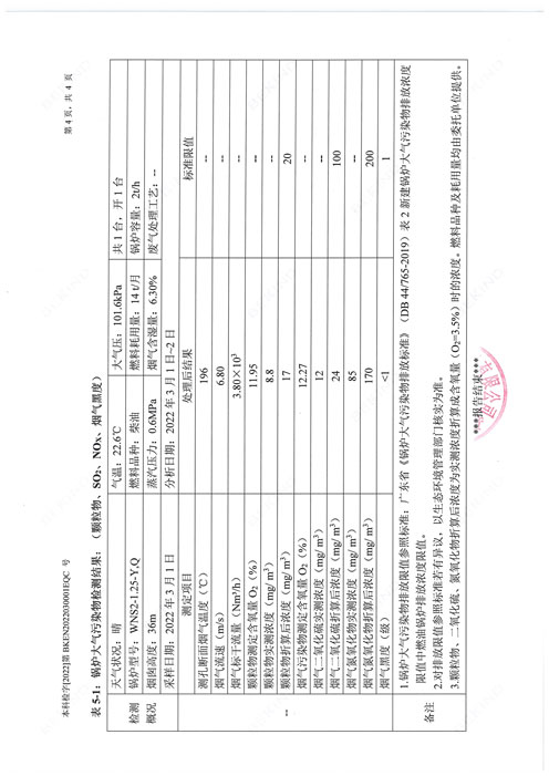
2022年3月废气检测
2022年3月废气检测
发布时间:2022-04-29 10:33:53 点击数:
上一篇:
2022年2月废气检测
下一篇:
2022年3月废水检测
官方微信扫一扫
关注淘宝最新优惠
华体官网网页版
|
乐鱼页面在线登录
|
星空官方网页版
|
乐动手机版
|
BV韦德
|
多宝官网
|
星空在线注册
|
乐鱼网站_乐鱼(中国)
|
万搏在线官网
|